Uwb超宽带是类新型的通信技术,UWB的工作频带是3.1~10.6GHz,系统-10dB带宽与系统中心频率之比大于20%或系统带宽至少为500MHz。UWB信号的发生可通过发射时间极短(如2ns)的窄脉冲(如二次高斯脉冲)通过微分或混频等上变频方式调制到UWB工作频段实现。

Uwb的主要性能是,低功耗、对信道衰落(如多径、非视距等信道)不敏感、抗干扰能力强、不会对同一环境下的其他设备产生干扰、穿透性较强(能在穿透一堵砖墙的环境进行定位),具有很高的定位准确度和定位精度。
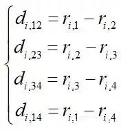
UWB定位原理:
该技术采用TDOA(到达时间差原理),利用UWB技术测得定位标签相对于两个不同定位基站之间无线电信号传播的时间差,从而得出定位标签相对于四组定位基站(假设1#、2#为第一组,2#、3#为第二组,3#、4#为第三组,4#、1#为第四组)的距离差:

式中di,12~di,14为UWB技术测得的定位卡相对于四组定位基站的距离差。
基本原理如下图所示:

Uwb定位原理示意图
通过联解下式方程即可解算出定位卡的三维坐标:

使用uwb技术不需要定位标签与定位基站之间进行往复通信,只需要定位标签只发射或只接收UWB信号,故能做到更高的定位动态和定位容量。
UWB定位应用可以为哪些行业带来改变
高精度定位安全管理系统由硬件定位设备、定位引擎和应用软件构成。系统采用UWB定位技术,定位精度优于30cm,单区域支持多于1000张/秒的定位标签,精度高,容量大。
工业仓库:
在工厂中,UWB定位系统可以帮助传统工厂实现数字化管理,可实时查看员工位置、在岗时间、离岗时间、移动轨迹,提高岗位巡查效率。通过后台对仓储货物位置的监管,可查看物品位置、所属仓库等数据,防止物资设备的丢失。
养老院:
在养老院,通过给老人佩戴智能手环或胸牌,不仅能够实时查看老人位置,还能够通过设置电子围栏来圈定安全活动范围,一旦老人走出安全区域,系统就会及时预警,通知管理人员前往查看,避免老人走失。
因为护工人员不可能24小时陪在每一个老人身边,难免会有疏漏,所以可以将一键报警功能集成在手环或胸牌之中,一旦老人遇到危急情况,按下按钮就能够通知护工人员及时予以救助,避免危及老人生命健康安全。
司法监狱:
监狱安全管理一直是备受关注的问题,通过UWB定位技术如何杜绝监狱犯人管理漏洞、降低监管执法风险呢?
在监狱,通过UWB定位系统,将定位标签集成至犯人定位腕带中,能够对服刑犯人进行实时监控。
包括:实时掌握人员的实时位置、人数清点、犯人腕带防拆报警、电子围栏、聚众分析、行动轨迹跟踪、 回放、摄像联动警报等,能够很大程度的降低监管执法的风险,防止意外事故的发生。
免责声明:文章内容来自互联网,本站仅作为分享,不对其真实性负责,如有侵权等情况,请与本站联系删除。
转载请注明出处:什么是uwb超宽带技术呢?怎么用uwb室内定位呢? https://www.zentong.com/zt/9915.html