摘要
本文介绍了运放电路带宽增益积 GBW 选型经验公式(GBW=Gain x BW)以外的计算方法,利用多数电压反馈型运放符合的一阶 RC 模型来拟合运放的开环增益曲线,通过运放的低频开环增益 Am,电路的衰减系数 M,反馈系数 F,来准确计算电路中所需要运放的 GBW 。文中同时也给出了在运放 GBW 和低频开环增益 Am选型固定之后,如何来准确计算某个频率 f 所对应的闭环增益 Acl,通过本文介绍的计算方法,设计者可以快速对运放进行选型,不必依赖于某些经验公式,更加可以根据实际电路中所容忍的增益误差来选型运放的 GBW,对设计者帮助很大。
本文由江苏润石资深FAE-Ovid Ling 撰写
引言
在电路选型运算放大器时,不少工程师会根据经验公式 GBW=Gain x BW 来计算,比如电路的带宽是 100kHz ,增益需要 100,那么直接选用 GBW= 100kHz x 100=10MHz 的运放来使用,实际上对电路的增益进行频响测试时,会发现在频率为 100kHz 时,增益达不到 100倍。本文利用多数电压反馈型运放符合的一阶 RC 模型来拟合运放的开环增益曲线,通过运放的低频开环增益 Am ,电路的衰减系数 M,反馈系数 F,来准确计算电路中所需要运放的 GBW。
带宽增益积GBW的定义
对于润石的运放系列,目前多数都是电压反馈型的,其开环增益曲线有一个特点,在主极点 fH 之后,开环增益以 -20dB/dec 下降,就如下图 Figure 1 的绿色曲线所示。红色曲线是电路配置成 40dB 放大倍数的闭环增益曲线,在我们经常需要用到的频段里面,也就是我们感兴趣的频段,开环增益曲线可以使用一阶 RC 模型来拟合,也就是说绿色曲线可以表述为:

其中 Am是低频处的开环增益,fH 是运放的主极点。
一般我们认为带宽增益积 GBW = Am x fH,Figure 1 中

也可以从单位增益频率点来计算 GBW = 1 x 1MHz=1MHz,所以GBW 比较固定。在选取了一个运放之后,GBW 随之固定,信号的频率越高,运放的开环增益就跟着下降。

运放电路增益带宽积GBW的计算方法
1) 负反馈电路的增益计算


根据负反馈电路的原理,不论是同相放大器还是反相放大器,其电路增益可以表述为:

其中 M 是衰减系数,F 是反馈系数,AOL(f)是运放开环增益曲线,AOL(f) 是一个复数。
对于同相放大器

对于反相放大器

2) 替换后的闭环增益计算
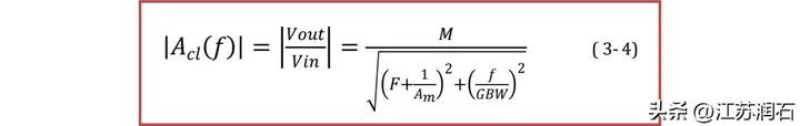
为了更好描述运放的开环增益,我们把公式(2-1)代入到公式(3-1)可得:

根据 GBW = Am x fH,则

根据复数求模的运算,可得:

所以根据公式(3-4),我们可以计算已知运放的 GBW,Am,求得某个频率 f 下电路的 lAcll。
既然可以已知运放的 GBW,Am,求得某个频率 f下电路的 lAcll,那么必然也可以计算已知电路某个频率 f 至少要有增益 lAcll,所需要运放的 GBW。还有已知运放的 GBW,Am,求得电路某个增益 lAcll 下对应的频率 f 。
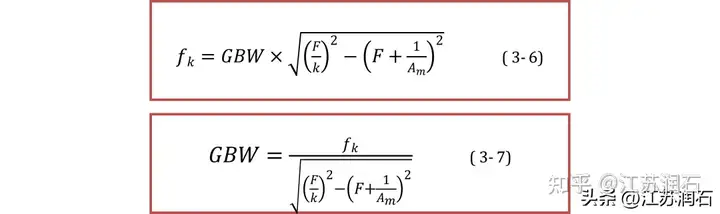
引入系数 k,表述某个频率 f 下的闭环增益降低为理想增益的程度,可得:
因为理想的电路闭环增益为
所以
化简后,可得:

仿真验证
1) 已知运放 GBW ,计算频率 f 下的闭环增益 Acl
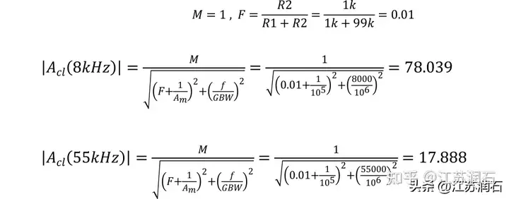
根据Figure 2,R1=99k ,R2=1k ,运放 GBW=1MHz,Am=100k,计算 f=8kHz和 f=55kHz 下,电路的实际闭环增益 Acl。
根据公式(3-4),理论计算为

同相放大器电路的仿真结果见 Figure 4,可以看到,理论计算跟仿真结果非常接近。

根据Figure 3,R1=100k ,R2=1k,运放 GBW=1MHz,Am=100k,计算 f =8kHz 和 f=55kHz 下,电路的实际闭环增益 Acl。
根据公式(3-4),理论计算为
反相放大器电路的仿真结果见 Figure 5,可以看到,理论计算跟仿真结果非常接近。

2) 已知运放 GBW,计算某个闭环增益 Acl 下对应的频率 f
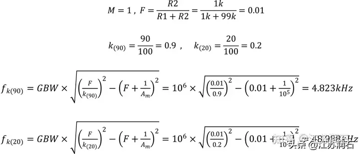
根据Figure 2,R1=99k ,R2=1K,运放 GBW=1MHz,Am=100k, 计算电路的实际闭环增益 Acl=90 和 Acl=20时所对应的频率 f 。
根据公式(3-6),理论计算为

同相放大器电路的仿真结果见 Figure 6,可以看到,理论计算跟仿真结果非常接近。

3) 在某个频率 f 下至少要有闭环增益 Acl,计算电路所需要运放的 GBW
根据Figure 2,R1=99k ,R2=1k,要求电路在频率 f=50kHz 时,电路的实际闭环增益 Acl ≥ 80,求电路中运放的 GBW,假设选用运放的 Am=100k。
根据公式(3-7),理论计算为

在仿真软件中设定运放的 GBW=6.68MHz,
同相放大器电路的仿真结果见 Figure 7,可以看到,理论计算跟仿真结果非常接近。

结论
通过对比本文上述介绍的三种理论计算方法与仿真软件实测值可知,本文档的计算方法非常准确有效,可以在短时间内帮助设计者进行合适的运放选型。另外需要注意,本文介绍的运放一阶等效模型,仅适用于电压反馈型运放,电流反馈型运放不适用。而且电压反馈型运放的开环增益曲线如果在单位增益带宽前存在多个极点,计算结果可能不准确。
免责声明:文章内容来自互联网,本站仅作为分享,不对其真实性负责,如有侵权等情况,请与本站联系删除。
转载请注明出处:运放带宽增益积GBW的计算指南 https://www.zentong.com/zt/9079.html