杂谈

  • 半导体器件——MOSFET阈值电压

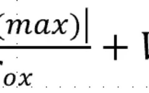
    阈值电压是场效应晶体管最重要的电学参数,初次接触半导体器件的人却往往很困惑,它的大小究竟与哪些结构参数相关,衬底掺杂浓度,氧化层厚度,栅材料哪个起到了主导作用,分别是怎么影响阈值电压的呢? 直接上公式,MOSFET阈值电压表达式 (以NMOS为例): 第一部分: 产生电子反型层的电荷( QSD′Q_{SD}^{} )在栅氧化层上引起的电压降: 如下图所示,栅…

    2024年7月4日
  • 粉丝卑微求票,周边酒店涨至千元甚至无房,周杰伦长沙演唱会有多火?

    原标题:粉丝卑微求票,周边酒店涨至千元甚至无房,周杰伦长沙演唱会有多火? 粉丝卑微求票,周边酒店涨至千元甚至无房,周杰伦长沙演唱会有多火? 一票难求的演唱会居然在长沙连开4场,谁的抢票DNA动了? 周杰伦2024“嘉年华”世界巡回演唱会即将在5月30日-6月2日登陆长沙。日前,演出赛事购票平台大麦网挂出该场演唱会的预约购票链接,截至发稿前,已有超70万人进行…

    2024年7月4日
  • 如何提升LCD显示模块的质量

    目前LCD屏幕均采用更好的彩色滤光片,彩色滤光片是液晶平面显示器彩色化的关键零组件,是面板关键零组件中生产成本比重较高的部分。LCD面板之所以能够产生色彩的变化,主要是来自彩色滤光片,所谓液晶面板是透过驱动IC的电压改变,使液晶分子排排站立,从而显示画面,而画面本身的颜色是黑白两种,通过滤光片就可以变成彩色图案。那么如何提升LCD显示模块的质量? 1、提高L…

    2024年7月4日
  • ​查找功能被关闭,如何找回丢失的iPhone?

    原标题:​查找功能被关闭,如何找回丢失的iPhone? 沙漏验机(ishalou.com),您的专业验机助手 当我们的 iPhone 不小心丢失或被盗,首先第一件事是借身边人的手机打电话给运营商挂失手机号码,以防坏人利用验证码登录账号把我们的钱转走。 确定财产安全后,再来考虑如何找回丢失的iPhone! 一:已开启“查找我的iPhone”功能 如果你的 iP…

    2024年7月4日
  • DSP初学选用哪款芯片,2812还是28335,主要是电机控制方面?-dsp芯片选型

    文章下方附学习资源,自助领取。 伺服控制系统大部分都采用传统的硬件结构,控制算法比较固定,而且也无法实现不同工况下的高性能控制算法,难以满足现代工业的需求。现阶段迫切需要研制一种智能型、具有高可靠性、控制性能更加优秀的电液伺服系统。基于DSP与STM32的智能型伺服控制器具有软硬件结合程度更加紧密、系统的智能化程度更高、可实现多种控制策略的优势。本系统从实际…

    2024年7月4日
  • 全国地灾防治强调“群测群防” 严防“群死群伤”

    来源:【赣南日报】 新华社北京4月21日电 (记者王立彬)随着各地全面入汛,2024年全国地质灾害和海洋灾害防治工作突出强调发挥“群测群防”作用,严防“群死群伤”事件。 记者21日在此间的2024年全国汛期地质灾害和海洋灾害防治工作视频会议上获悉,今年汛期自然资源(海洋)主管部门将把地质灾害和海洋灾害防治作为重中之重,紧盯重点部位,严防“群死群伤”事件。围绕…

    杂谈 2024年7月4日
  • 电解电容特性及应用要点-电解电容特性及应用要点有哪些内容

    在电力电子电路中,不管是逆变器还是整流器输入级都需要大容量的支撑电容提供脉动电流。对于大功率电路而言,支撑电容的容量较大,电解电容是比较常用的大容量功率电容。 1、电解电容的基本原理和结构 我们最初学习电容器的原理的对象基本都是平板电容器,在两个平板之间放入电介质,这就构成了最简单一个电容器。并且有 平板式电容计算公式:C=ε *ε0* S/d; 式中: 电…

    2024年7月4日
  • 新能源车企3月交付量汇总:比亚迪超30万辆、问界全系超3万辆、理想28984辆

    三言科技 4月1日消息,今日,多家新能源车企公布3月交付数据,三言科技汇总如下: 比亚迪3月销售302459辆 比亚迪公布3月销量数据:比亚迪3月销售302459辆,上年同期销量207080辆。其中,乘用车出口38434辆;比亚迪汽车王朝|海洋销售286712辆;腾势汽车销售10279辆;仰望汽车销售1090辆;方程豹汽车销售3550辆。 问界全系3月共交付…

    2024年7月4日
  • 许钟豪连续恶犯的背后,更深层次的问题是什么?

    针对最近各种关于许钟豪连续恶犯的声音,我也有话要说。 许钟豪此人曾在八一队时就以打球凶狠而出名,球技一般,很多喂到嘴边的球都不一定能放进篮筐,不服管教,场上能和主教练大致吹胡子瞪眼,八一解散后来到广厦,球技未见有丝毫提升,然其凶悍之风却有增无减,CBA第二阶段最后一场故意肘击北控主力后卫廖三宁面部致其骨折,第三阶段刚开打没几天,先是在浙江德比中膝顶稠州核心吴…

    2024年7月4日
  • [视频]国内联播快讯

    不支持的音频/视频格式 请试试刷新 重播 播放 00:00 / 00:00 直播 00:00 进入全屏 0 点击按住可拖动视频 央视网消息(新闻联播): 今年中央财政安排4980万元支持社会组织参与社会服务 记者从民政部了解到,今年中央财政安排专项资金4980万元,示范引导社会组织参与社会服务,支持项目重点面向条件相对薄弱、基层需求强烈的区域,聚焦“一老一小…

    杂谈 2024年7月4日

联系我们

在线咨询: QQ交谈

邮件:362039258#qq.com(把#换成@)

工作时间:周一至周五,10:30-16:30,节假日休息

铭记历史,吾辈自强!